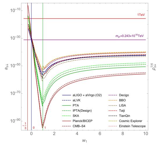
近日,必一·运动(B-Sports)官方网站李昌鸿副教授团队在国际学术期刊《Physical Review D》上发表了题为 “Gravitational wave constraints on the bouncing energy scale of big bounce cosmology”(引力波对大反弹宇宙的反弹能标的限制)的学术论文(https://journals.aps.org/prd/abstract/10.1103/PhysRevD.111.103517),首次利用宇宙微波背景辐射各向异性,脉冲星计时阵列,激光干涉引力波天文台的随机引力波观测数据约束了大反弹宇宙的(准)最高能标的取值,揭示了非奇异性宇宙的(准)最高能标为有限值(下图)。该成果为探索非奇异性宇宙起源及其极早期演化提供了随机引力波方面的具体观测限制,并为将来早期宇宙新模型的建立提供了引力波振幅和谱指数方面的理论和观测依据,同时,也是将来多手段探测的随机引力波(宇宙背景·脉冲星阵列·谐振腔·超导电路)作为早期宇宙及新物理全频段探针的低频组成部分。

该工作基于以下两项工作:
(1)该团队2024年10月发表在《Physical Review D》上题为“Primordial gravitational waves of big bounce cosmology in light of stochastic gravitational wave background”的学术论文(https://journals.aps.org/prd/abstract/10.1103/PhysRevD.110.083535)。将引力波在反弹宇宙(非奇异宇宙)中的演化这一经典问题映射为共形时域上的一维方势垒量子问题,首次构建出涌现的不等式代数结构,从而提出引力波在非奇异宇宙中完整演化的计算方法,进而首次得到了非奇异性宇宙中引力功率谱振幅的完整矩阵表达式。该方法被PRD审稿人评价为:“这里提出的方法简单而强大,因为其适用于广义的反弹宇宙图像 (The method proposed here is simple but it could be powerful due to its applicability to general bounce scenarios.)”
(2)该团队2024年9月发表在国际学术期刊《Journal of High Energy Physics》上题为“Dual inflation and bounce cosmologies interpretation of pulsar timing array data”的数据分析论文(https://link.springer.com/article/10.1007/JHEP09(2024)138)。首次识别了可以共同解释宇宙微波背景辐射各向异性和脉冲星计时阵列观测数据的早期宇宙参数空间,并提供了暴涨和反弹宇宙对偶的引力波初始证据。该工作被JHEP审稿人评价为:“他们的工作是彻底的(Their work is thorough)”,并获得了两大国际“脉冲星计时阵列”合作组的来信关注。
以上成果得到了国家自然科学基金,云南省基础应用研究计划,云南省天体粒子物理重点实验室,云南省中青年学术和技术带头人,云南省青年人才,必一·运动(B-Sports)官方网站人才项目等的资助。